 Вам 
 нужно перегородить «залу» размером с футбольное поле, превратив ее 
 в несколько уютных комнат? Вам надоел совмещенный санузел, вечные 
 споры домочадцев, кому первому занять ванную или, пардон, унитаз? 
 Тогда – какие проблемы? Сделайте перегородку! Нет, для этого не надо 
 завозить тонну раствора, кирпич и цемент… Вполне крепкие и надежные 
 стены можно сделать гораздо проще. Но для начала давайте уточним, 
 чем стена отличается от перегородки.
      Вам 
 нужно перегородить «залу» размером с футбольное поле, превратив ее 
 в несколько уютных комнат? Вам надоел совмещенный санузел, вечные 
 споры домочадцев, кому первому занять ванную или, пардон, унитаз? 
 Тогда – какие проблемы? Сделайте перегородку! Нет, для этого не надо 
 завозить тонну раствора, кирпич и цемент… Вполне крепкие и надежные 
 стены можно сделать гораздо проще. Но для начала давайте уточним, 
 чем стена отличается от перегородки. 
 Стена – это капитальная несущая конструкция из кирпича, бетона, железобетона (каркас дома). Стену нельзя сносить или делать в ней проемы без специального разрешения проектной организации. Самостоятельный снос даже одной стены может привести к разрушению дома. Такие случаи были в начале 1990 годов, когда возник бум покупки квартир.
Перегородка – более тонкая, соответственно, ненесущая и некапитальная стена.
Различают два вида перегородок, назовем их условно первоначальные и вторичные. Первоначальные ставятся еще во время строительства дома, в квартирах с готовой планировкой. Их, как и стену, нельзя произвольно сносить или делать в них большие проемы: если убрать перегородку, которая служит распором между полом и потолком, может провиснуть потолок. Первоначальные перегородки в старых домах обычно делали из дерева или кирпича, в новостройках – из пенобетона и гипсокартона.
Второй тип перегородок – те, которые ставятся по индивидуальному заказу, в готовом доме. Их можно ставить где угодно и сносить, когда захочется. Вот о них давайте и поговорим.
СЛОВАРЬ СТРОИТЕЛЯ
Гипсокартон (ГКЛ – гипсокартонный лист) – «сердечник» из природного гипса, оклеенный с четырех сторон картоном. Различают обычные (ГКЛ), влагостойкие (ГКЛВ), огнестойкие (ГКЛО), влагостойкие с повышенной огнестойкостью (ГКЛВО). Используется для строительства перегородок, подвесных потолков и отделки стен. ГКЛВ используют еще и в качестве утеплителя.
Гипсоволокно (ГВЛ – гипсоволокнистый лист) – негорючая прессованная смесь природного гипса и измельченной бумажной макулатуры. Различают обычные (ГВЛ) и влагостойкие (ГВЛВ). Используется в качестве утеплителя и для выравнивания полов, оклеивания горючих материалов для придания им огнестойкости.
Фанера – тонкий лист древесины для облицовки столярных изделий; листовой материал из склеенных пластин с перекрестным расположением волокон древесины для строительных работ. Разделяется на простую и трехслойную.
ДСП (древесно-стружечная плита) – прессованная стружка, как правило, облицованная пластиком или заламинированная. Используется для изготовления мебели, дверей, отделки помещений.
МДФ – шпонированная плита из спрессованной бумажной пыли. Прочнее и экологически чище ДСП. Используется как альтернатива ДСП.
Все перечисленные материалы используются в качестве заполнителя 
 каркаса перегородок – они вставляются внутрь каркаса или крепятся 
 на него.
 
 
 Какие бывают перегородки
Самая простая перегородка – это обыкновенная ширма. Известно, что их очень любила Екатерина II. За ширмой, кстати, она принимала своих фаворитов. Ходила байка, что Екатерина Великая, уже на склоне лет, сидя за ширмой на ночной вазе, давала поручения и диктовала приказы своим министрам. У любившей роскошь императрицы ширмы отличались особым блеском, изящные деревянные рамы ширмы обтягивались китайским шелком с замысловатым рисунком.
На языке строителей ширму можно назвать «мобильная перегородка». Но у нас речь пойдет о перегородках под названием «стационарные».
Визуально перегородки делятся на прозрачные и глухие. Прозрачная – перегородка, в каркас которой вставлено стекло. Глухая – в каркас вставлен непрозрачный материал (дерево, фанера, гипсокартон, ДСП, МДФ, алюминий, ПВХ).
По конструкции перегородки делятся на офисные и межкомнатные (домашние).
Офисные перегородки – это прозрачные или глухие конструкции, как правило, не доходящие до потолка. Их делают на алюминиевом и пластиковом каркасе. В каркас вставлен так называемый «заполнитель», то есть каркас «заполняют» разнообразным материалом – стеклом (прозрачные), деревянным массивом и даже алюминиевой «вагонкой». «Заполнитель» крепится в каркас и не закрывает его полностью.
Чтобы разделить помещение на отдельные кабинеты, перегородки ставят глухие (непрозрачные), во всю высоту помещения, крепящиеся к потолку, полу и стенам. В таких случаях их делают максимально звуконепроницаемыми, и если нужно окно, врезают стеклопакет.
Межкомнатные перегородки – это непрозрачные конструкции из гипсокартона или дерева. Сделаны по принципу межкабинетных офисных перегородок. В последнее время на фирмы все чаще поступают заказы именно на межкомнатные перегородки. Оно и понятно, многие новостройки сдаются сегодня без внутренней отделки. Стены (точнее перегородки) можно ставить по собственному вкусу. И потом, разгораживать комнату тяжелой стеной – мороки много. Причем размер и возраст квартиры не влияет на то, можно ставить такую перегородку или нет. Современные конструкции достаточно легкие, и их можно ставить где угодно. Кроме того, в такой «стене» можно врезать двери по принципу шкафа-купе. Такая дверь не будет бить ручкой по мебели или перекрывать проход. Кстати, и сами перегородки можно заказать как неподвижные, так и раздвижные.
Как выбрать материал?
Итак, мы поняли, что основа любой перегородки – каркас и так называемый «заполнитель». Из чего они сделаны:
Могут быть и комбинированные варианты.
Что же выбрать? Мнение специалистов, с которыми мы говорили, единодушно: выбирать материал нужно исходя из задач, которые вы перед собой ставите. Если, к примеру, перегородка будет отделять ванну от унитаза и биде, лучше взять водостойкий пластик с непрозрачным стеклом (витражом). Перегородка может быть небольшого размера, но почти от самого потолка до верхнего края ванны. Лучше всего сделать такую перегородку с дверцей, которая ездит туда-сюда.
И еще. Чтобы за перегородкой (в ванной) не было душно, ее ставят не до потолка. А чтобы, пока вы принимаете душ, другие члены семьи могли посетить туалет, перегородка делается непрозрачной. Но если воздуха все-таки не хватает, нужно сделать форточку и поставить вентилятор. Открыл окошечко, включил вентилятор, и – бриз, как на морском побережье.
Какие еще существуют варианты? Допустим, вы хотите разделить большую комнату на несколько маленьких. Но при этом вам не нужно, чтобы перегородки были абсолютно звуконепроницаемыми. Тогда можно поставить прозрачные (стеклянные) перегородки в алюминиевых, пластиковых или деревянных каркасах.
А вот для разделения помещения на отдельные звукоизолируемые кабинеты лучше монтировать гипсокартонные перегородки с изоляционным материалом (фирма «ТигиКнауф»). Они абсолютно надежны: позволяют и тяжелые полки повесить, и умывальник прикрепить. Не обвалятся.
Можно поставить полностью деревянные перегородки. Они нужны, если вы, допустим, хотите сделать отдельный кабинет. Используя дерево, есть возможность совместить две конструкции – сделать одновременно перегородку и шкаф с полками и нишами для бытовой аппаратуры.
А теперь рассмотрим перегородки из наиболее употребляемых материалов.
Гипсокартон
Перегородка из гипсокартона – это гипсокартонные листы, полностью закрывающие стойки и с двух сторон укрепленные на металлический каркас. Причем в помещении с повышенной влажностью нужно использовать влагостойкие гипсовые листы (ГКЛВ). Их еще называют «зелеными» (листы ГКЛВ – зеленого цвета). Между ними прокладывается звукопоглощающий утеплитель из стекла или минеральной ваты.
Например, нам нужно переоборудовать рабочий кабинет так, чтобы книжные полки висели от пола до потолка. Что делать? С этим вечным вопросом я отправилась к строителям. На заводе «ТигиКнауф» мне предложили подходящий вариант: глухие (то есть непрозрачные) перегородки из гипсокартона, выдерживающие груз до 150 кг/кв.м.
Вот как устроена такая перегородка. Металлический каркас из стоечных профилей крепится на несущие конструкции здания и покрывается гипсовыми панелями. Для стен используются в основном гипсокартонные листы (ГКЛ). Для лучшей тепло- и звукоизоляции каркас устанавливается на полиуретановую или прорезиненную ленту, а между панелями прокладывается слой минеральной ваты или стекловаты.
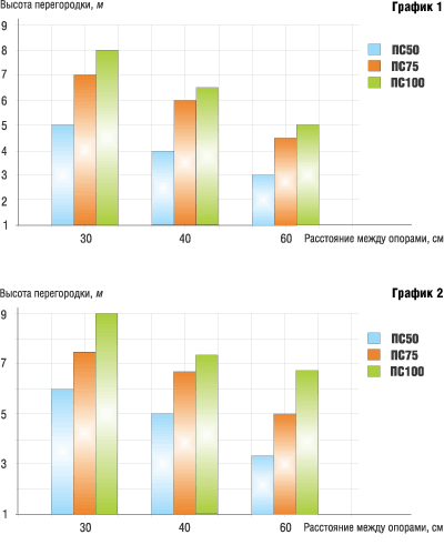
Ограничений по длине перегородок нет. А вот высота перегородки зависит от толщины стальных стоек, их типа и расстояния между стойками.
 На 
 графике 1 мы показали зависимость высоты стены от расстояния между 
 опорами. В этом случае мы взяли одинарный каркас, на котором в два 
 слоя установлена гипсовая панель.
На 
 графике 1 мы показали зависимость высоты стены от расстояния между 
 опорами. В этом случае мы взяли одинарный каркас, на котором в два 
 слоя установлена гипсовая панель.
Как сказали специалисты завода, чаще всего они ставят двойной или одинарный каркас с одинарным либо двойным слоем ГКЛ, в зависимости от ситуации, дизайна и желания заказчика.
На графике 2 вы видите зависимость высоты перегородки от расстояния между опорами при одинарном каркасе, покрытом однослойным ГКЛ.
Что выбрать? Как правило, в стандартных квартирах не бывает потолков выше трех метров, поэтому для простых домашних перегородок вполне хватит одинарного каркаса. Но при этом в расчет перегородки надо закладывать величину груза, который будет на нее повешен. От этого зависит толщина гипсового листа, толщина и тип каркаса.
Если, к примеру, шкаф весит до 50 кг/кв.м (при глубине не более 30 см), достаточно поставить одинарный каркас с ГКЛ толщиной 15 мм. Если вы хотите повесить книжный стеллаж с весом до 70 кг/кв.м, то гипсовый лист должен иметь толщину не менее 18 мм. А если стена должна будет выдержать груз от 70 до 150 кг/кв.м, ставится специальный комплекс. Туда входят усиленные рамы и траверсы (металлический стержень, стягивающий опоры).
Такие комплексы, например, в ванных комнатах фирма ставит, чтобы повесить умывальник и прочее сантехническое оборудование. Имейте в виду, величина груза измеряется в килограммах на погонный метр.
Какие двери ставят в таких перегородках – раздвижные или распашные? И можно ли установить стеклопакеты в тяжелых деревянных рамах? Например, на заводе «ТигиКнауф» вам поставят практически любые двери. По желанию заказчика. Можно поставить деревянные из массива, можно – легкие из пластика. В оконные и дверные проемы в перегородках ставятся усиленные рамы. Распашная дверь, как и окно, требует большего усиления. Если дверь весит до 30 кг, то раму усиливают деревянным брусом. В дверях потяжелее стойки усиливают специальным профилем.
Такая конструкция перегородки позволяет провести скрытую электропроводку, ее, по заказу клиента, сделают монтажники. Для этого в стойках прорезают отверстия так, чтобы кабель шел поперек стоек. В перегородках из ГКЛ проделывают отверстия под розетки и выключатели. А потом перегородку обрабатывают, и в итоге получается ровная стена, стоек каркаса не видно. Все швы заделывают гипсовой шпатлевкой под цвет стены и армирующей лентой так, что места соединений совсем не видны. Потом, уже в квартире, кто-то оставляет просто белые стены (кстати, влагостойкий гипсокартон имеет зеленый цвет, чтобы можно было различать визуально ГКЛ от ГКЛВ), кто-то оклеивает обоями или красит. Красить гипсовые листы можно чем угодно: и масляной краской, и водоэмульсионной.
В принципе поверхность перегородки может быть не обязательно строго квадратной или прямоугольной формы. Для криволинейных (закругленных) поверхностей есть специальные гипсокартонные листы и криволинейный каркас. Сами панели (листы) бывают толщиной 9,5 и 12 мм, они пластичны во влажном состоянии, но имеют высокую прочность на изгиб, когда высохнут. После специальной обработки на заводе они и превращаются в криволинейные поверхности. Так что можно сделать стену любой конфигурации и с любыми углами.
Итак, что мы теперь знаем про перегородки из гипсокартона?
Стена получается ровная, ее можно красить, оклеивать обоями. В принципе возможна любая другая отделка. Хотя и без дополнительной отделки стены выглядят законченными. Кроме этого, гипсокартон – огнестойкий материал. Обладает высокой паро- и газопроницаемостью: значит, перегородка «дышит». Если усилить каркас, выдерживает большие нагрузки. Можно сделать перегородки любой конфигурации.
Обычный гипсокартон боится воды. Поэтому нельзя ставить такие перегородки в помещениях с влажностью более 90% (даже если гипсокартон влагостойкий). Технология «ТигиКнауф» не позволяет сделать стены раздвижными (другие фирмы вставляют гипсокартонный лист в алюминиевый каркас, и это позволяет двери «раздвигать»).
Швы в ГКЛ заделывают гипсовой шпатлевкой. Этой же шпатлевкой заделывают отверстия, сколы и прочие неровности. В глубокие швы и отверстия под шпатлевку кладут армирующую ленту. Значит, воспользовавшись технологией «ТигиКнауф», мы можем построить «глухую» стену и повесить на нее груз весом до 150 кг.
Перегородки из гипсокартона – от 20 до 50 долларов за кв. метр, в зависимости от конфигурации, конструкции каркаса, количества слоев, высоты и других параметров (без учета монтажа). Монтаж – 10–20% от стоимости материалов.
Алюминиевые и ПВХ-перегородки
Алюминиевая и ПВХ-перегородка – это каркас из алюминиевого 
 или ПВХ-профиля, в который вставлен «заполнитель» (стекло, фанера, 
 ламинат, дерево, гипсокартон и т. д.) «Заполнитель» крепится на 
 каркас и не закрывает его полностью. Эти перегородки похожи по конструкции 
 (толщина стоек одинакова), по прочности и по способу монтажа. Их 
 можно комбинировать: одна панель из ПВХ, другая – из алюминия.
 
 Алюминиевые 
 перегородки сегодня очень популярны. Их ставят и в офисах, и в загородных 
 домах (реже встречаются в квартирах). Вот что рассказала про перегородки 
 из алюминиевого профиля представитель фирмы «Новые конструкции» 
 Ольга Короткова:
Алюминиевые 
 перегородки сегодня очень популярны. Их ставят и в офисах, и в загородных 
 домах (реже встречаются в квартирах). Вот что рассказала про перегородки 
 из алюминиевого профиля представитель фирмы «Новые конструкции» 
 Ольга Короткова:
– Алюминиевые профили – легкие и прочные. Они очень быстро монтируются и позволяют поставить любой наполнитель. Профили бывают нескольких видов. Мы ставим испанский профиль (белый и анодированный под старую бронзу) и отечественный профиль Малоярославского завода (белый и анодированный под серебро).
В алюминиевый каркас можно вставить стекло (оно придает конструкции легкость) и непрозрачные материалы – гипсокартон, ДСП, МДФ, ламинат, алюминиевую вагонку. Эти перегородки не нужно дополнительно отделывать, потому что все используемые материалы уже обработаны «под ключ». Перегородка получается «полосатая» – наполнитель вставляется в каркас, а не закрывает его полностью. На поверхности видна рамка каркаса. Поэтому с точки зрения дизайна важно подбирать цвет перегородок.
На стеклянный наполнитель можно навесить жалюзи (вертикальные и горизонтальные). (Цена жалюзи – от 7 до 18 долларов.) Кстати, гораздо удобнее поставить двойное стекло, а между ними – жалюзи. Такая конструкция имеет очень хорошую звукоизоляцию, и жалюзи не пылятся.
Цена 1 кв. метра алюминиевой рамы на 3 доллара дороже, чем рамы из ПВХ. Перегородка с жалюзи будет еще дороже.
Как сказал специалист фирмы Александр Шорин, «алюминиевый профиль мы продаем на килограммы: 5 долларов за 1 кг. В профиль из алюминия и пластика можно поставить любой заполнитель вплоть до стеклопакета с двойным и тройным стеклом. Все зависит от поставленных задач».
  Интересная 
 подробность: в фирме «Алюминий-Монтаж-Комплекс» считают, что для 
 уличных перегородок (например, вам нужно «отделить» зимний сад от 
 улицы) лучше ставить именно алюминиевый каркас. Почему? Потому что, 
 по их мнению, дешевый ПВХ-профиль промораживается. Правда, в другой 
 фирме по этому поводу внесли некоторое уточнение: «Вспененный ПВХ 
 имеет температурный режим работы от -50 до +50°С. Турецкий пластик 
 мягкий, быстро коррозирует. Как показала практика, в московских 
 условиях не выдерживает больше полутора лет. Самый распространенный 
 сейчас пластиковый профиль – испанский. А стекло – отечественного 
 Борского завода. Покупатели довольны. Цветовая гамма пластика – 
 тоже самая разнообразная, можно, например, сделать «под дерево». 
 Смотрится очень красиво».
Интересная 
 подробность: в фирме «Алюминий-Монтаж-Комплекс» считают, что для 
 уличных перегородок (например, вам нужно «отделить» зимний сад от 
 улицы) лучше ставить именно алюминиевый каркас. Почему? Потому что, 
 по их мнению, дешевый ПВХ-профиль промораживается. Правда, в другой 
 фирме по этому поводу внесли некоторое уточнение: «Вспененный ПВХ 
 имеет температурный режим работы от -50 до +50°С. Турецкий пластик 
 мягкий, быстро коррозирует. Как показала практика, в московских 
 условиях не выдерживает больше полутора лет. Самый распространенный 
 сейчас пластиковый профиль – испанский. А стекло – отечественного 
 Борского завода. Покупатели довольны. Цветовая гамма пластика – 
 тоже самая разнообразная, можно, например, сделать «под дерево». 
 Смотрится очень красиво».
А можно ли сделать перегородку из алюминия, допустим, в виде арки? Раньше это было невозможно, предполагались только прямоугольные конструкции. Но теперь научились его гнуть, посему можно делать и арочные стены. Заполнитель в криволинейных каркасах можно ставить тоже любой: все используемые сегодня заполнители (включая фанеру и стекло) прекрасно поддаются искривлению.
В результате, чем же отличаются алюминиевые и ПВХ-перегородки от других?
Легкие, не боятся мороза и воды. Алюминиевый каркас позволяет сделать перегородки любой конфигурации. Их можно сделать раздвижными и монолитными.
На перегородку нельзя навесить грузы больше 3 кг, иначе перегородка деформируется (правда, ПВХ-профиль фирмы «Века» выдерживает до 10 кг). Перегородки на каркасе из ПВХ не могут быть криволинейными (из них не сделаешь арку, изгибы). Алюминий же позволяет это сделать.
 
Ремонту поддаются только гипсокартонные листы, любой другой материал заменяется на новый. Поврежденные элементы каркаса тоже придется менять. На шпонированный «заполнитель», если он поврежден менее чем на 15% площади, можно наклеить новый кусочек шпона (а если больше – нужно менять). Но лучше всего при повреждениях и каркаса, и заполнителя вызвать мастеров из той фирмы, которая вам ставила перегородки. Они что-нибудь придумают.
 
На эти перегородки колеблется от 150 до 350 долларов, в зависимости от заполнителя. Это цена 1 кв. м алюминиевой перегородки, 1 кв. м пластиковой перегородки – от 100 до 300 долларов (расценки без учета стоимости работ и доставки).
Распашная дверь со стеклом – еще от 300 до 1000 долларов.
Монтаж – 10–15% от стоимости работ.
Примерные цены 1 кв.м профиля: Алюминий – 100–150$; ПВХ – 50–100$.
Деревянные перегородки
Деревянная перегородка – это каркас, собранный из шпонированного 
 профиля (или массива) с различным заполнением. От алюминиевой перегородка 
 из дерева отличается только материалом, из которого сделаны стойки.
 
 Вам хочется традиций? Пожалуйста, сделайте перегородку из дерева. 
 Мы прошлись по фирмам. Узнали много нового. К примеру, московская 
 компания «Луми» (Lumi) делает перегородки не только из алюминия, 
 но и деревянные. Вот что нам рассказала руководитель отдела маркетинга 
 Ирина:
 – 
 Мы изготавливаем межкомнатные перегородки, шкафы-купе и авторскую 
 мебель, создаем интерьер в едином стиле, отвечающем функциональным 
 требованиям заказчика. Работаем и с металлом, и с деревом. Стационарные 
 или раздвижные деревянные перегородки делаем из профилей МДФ, покрытых 
 натуральным шпоном ореха, бука, дуба (изготовитель этого профиля 
 – норвежская фирма Liste Huset). Потом их заполняют разнообразным 
 стеклом, деревянными панелями, зеркалом, металлом и пр.
– 
 Мы изготавливаем межкомнатные перегородки, шкафы-купе и авторскую 
 мебель, создаем интерьер в едином стиле, отвечающем функциональным 
 требованиям заказчика. Работаем и с металлом, и с деревом. Стационарные 
 или раздвижные деревянные перегородки делаем из профилей МДФ, покрытых 
 натуральным шпоном ореха, бука, дуба (изготовитель этого профиля 
 – норвежская фирма Liste Huset). Потом их заполняют разнообразным 
 стеклом, деревянными панелями, зеркалом, металлом и пр.
Перегородки «Луми» (Lumi) – это нечто промежуточное между стенами и мебелью. Особенности модульной конструкции профилей позволяют делать обычные легкие перегородки, но можно и «вмонтировать» в них элементы мебели. Можно, например, сделать открытые полки, а можно совместить с перегородкой и сложные системы из стеллажей, компьютерного рабочего места, стойки домашнего кинотеатра, гардероба и даже выдвижной кровати. Причем дверь в такой перегородке можно сделать тоже любую: и распашную, и раздвижную. Толщина перегородки зависит в основном от дизайна.
  Для 
 изогнутых перегородок мы используем специальный «деревянный» материал 
 Топан (Topan Form), разработанный немецкой фирмой Glunz AG. Этот 
 материал сделан из МДФ. С одной стороны его поверхность – гладкая 
 и ровная, а с другой – «разрезанная». Эта особенность и позволяет 
 придать полке или стене изогнутую форму.
Для 
 изогнутых перегородок мы используем специальный «деревянный» материал 
 Топан (Topan Form), разработанный немецкой фирмой Glunz AG. Этот 
 материал сделан из МДФ. С одной стороны его поверхность – гладкая 
 и ровная, а с другой – «разрезанная». Эта особенность и позволяет 
 придать полке или стене изогнутую форму.
Изящными получаются стенки с комбинированным «наполнителем». Каркас «заполнен» шпонированным деревом, двери с различным стеклом.
А вот в фирме «ВОЙКАР» работают в основном с российским деревом, причем сами занимаются заготовкой и сушкой древесины. Там можно заказать любые перегородки на заказ из любых пород дерева – бука, ясеня, сосны, клена (клен – наиболее дорогой материал). Как сказали на фирме, самый популярный материал – наш родной дуб. Но по желанию заказчика могут сделать «стенку» из какой-нибудь экзотической породы, например, из красного или черного дерева. А можете выбрать вишню, грушу и прочее.
Если нужно отделить часть пространства «не капитально», закажите раздвижные перегородки, крепящиеся к потолку на подвесе. А чтобы двери не раскачивались, в полу сделают направляющий паз. Широкие перегородки изготовят из нескольких створок, к примеру, из четырех. Каркас можно заполнить тонированным или зеркальным стеклом отечественного или бельгийского производства.
  Фирма 
 «Ли-Эль Дизайн» работает только с итальянскими производителями деревянных, 
 алюминиевых и стеклянных дверей и перегородок. Здесь можно заказать 
 перегородки, отвечающие любым требованиям заказчика. Из привычных 
 материалов представлены изделия из шпонированного массива. Это многослойный 
 материал – хвойный массив, покрытый шпонированным МДФ.
Фирма 
 «Ли-Эль Дизайн» работает только с итальянскими производителями деревянных, 
 алюминиевых и стеклянных дверей и перегородок. Здесь можно заказать 
 перегородки, отвечающие любым требованиям заказчика. Из привычных 
 материалов представлены изделия из шпонированного массива. Это многослойный 
 материал – хвойный массив, покрытый шпонированным МДФ.
Вообще материал, используемый в перегородках, – это технически сложное изделие: массив или ламелевый брус, склеенный по разным направлениям волокон хвойных пород деревьев.
Весьма изящно смотрятся плетеные перегородки, сделанные из тонких, но прочных фанерных лент по принципу корзин. Но отличительной особенностью перегородок является их конструкция. Вся перегородка состоит из полотен, рамок или стекол. Раздвижные перегородки могут быть двух типов – раздвижными или складывающимися, как гармошка.
Эта конструкция позволяет как убирать полностью перегородку, оставляя открытый проем, так и приоткрывать ее на необходимую ширину. Такие перегородки крепятся к потолку, а на пол устанавливается флажок, который входит в паз полотна и не дает полотну качаться (это относится к раздвижным полотнам).
 Салон 
 «ФОРЕСТА» специализируется на межкомнатных перегородках из ценных 
 пород дерева производства Италии. Там можно найти различные типы 
 межкомнатных перегородок: стационарные, раздвижные по стене, в стену, 
 между двумя стенами. Можно заказать перегородки, выполненные из 
 ценных пород дерева, или же актуальные в последнее время – из алюминия 
 в стиле High-Tec. Большое разнообразие стекла позволяет удовлетворить 
 самый изысканный вкус. Перегородки выполняются по индивидуальному 
 заказу в Италии. Опытные специалисты помогут грамотно подобрать 
 конструкцию и размеры перегородки. Причем если проем уже готов, 
 то специально под него будет разработана перегородка. Если же проема 
 еще не существует, то будет подобрана необходимая конструкция перегородки 
 и предоставлены необходимые размеры проема.
Салон 
 «ФОРЕСТА» специализируется на межкомнатных перегородках из ценных 
 пород дерева производства Италии. Там можно найти различные типы 
 межкомнатных перегородок: стационарные, раздвижные по стене, в стену, 
 между двумя стенами. Можно заказать перегородки, выполненные из 
 ценных пород дерева, или же актуальные в последнее время – из алюминия 
 в стиле High-Tec. Большое разнообразие стекла позволяет удовлетворить 
 самый изысканный вкус. Перегородки выполняются по индивидуальному 
 заказу в Италии. Опытные специалисты помогут грамотно подобрать 
 конструкцию и размеры перегородки. Причем если проем уже готов, 
 то специально под него будет разработана перегородка. Если же проема 
 еще не существует, то будет подобрана необходимая конструкция перегородки 
 и предоставлены необходимые размеры проема.
Цена на дерево зависит от материала (см. расчет ниже), а цена стекла зависит от того, на какой фирме вы будете заказывать перегородку. В среднем – от 250 до 500 долларов.
Если предполагается на перегородку повесить книжные полки, то лучше заказать деревянный шкаф-перегородку. Причем с одной стороны перегородка будет выглядеть как книжный шкаф, а с другой – как стена с нишами. В них можно поставить телевизор, аппаратуру и прочее.
В каркас перегородок ставят массив, МДФ, ДСП или фанеру, толщиной от 4 до 20 мм. Финишная отделка изделия самая разнообразная – от тонированных покрытий, не скрывающих текстуру дерева, до укрывных красок. Сейчас в моду вошел белый лак. Им покрывают дерево в несколько слоев, полностью скрывая рисунок. Только надо помнить, что дерево не любит толстое покрытие: чем толще слой краски, тем больше вероятность, что дерево его разорвет. Кроме того, мастерами освоена технология окраски дерева «с сединой».
Каковы же плюсы и минусы деревянных перегородок?
Изготовлены из экологически чистого материала. Можно делать перегородки любой конфигурации, дерево легко поддается резьбе. Можно сделать конструкцию повышенной прочности, выдерживающую больше 150 кг груза.
Дерево требует тщательной обработки, боится воды, у него недостаточная шумоизоляция. В помещениях с деревянными перегородками необходимо соблюдать постоянный температурно-влажностный режим (иначе «поведет»).
Изделия из дерева поддаются ремонту: если повреждение небольшое, его можно устранить, обработав лаком, шкуркой и клеем. При серьезном повреждении лучше вызвать мастеров, которые ставили перегородку.
И последнее. Наш вам совет: прежде чем обращаться на фирму, сделайте чертеж своего жилища, уточнив, где именно хотите поставить перегородку. Да, и имейте в виду: окончательная цена зависит от множества факторов, поэтому дать даже приблизительный расчет средней перегородки практически невозможно.
material.ru
 
www.ovd.ru
Компания «САНЕКСТ» производит пятислойные полимерные трубы для систем
отопления, горячего и холодного водоснабжения – SANEXT PEX//EVOH//PEX,
фитинги SANEXT и трубы SANEXT «Теплый пол».
В этой статье речь пойдет как раз о последних, предназначенных, как
следует из названия, для монтажа систем напольного отопления. Их легко
отличить по внешнему виду – они оранжевого цвета.
Трубы
SANEXT «Теплый пол» разрабо...
Основным условием поддержания оптимальной температуры внутри зданий
является качественная теплоизоляция. Полы играют существенную роль в
сохранении тепла в помещениях.
Неправильно утепленный пол или пол без теплоизоляции может стать причиной
охлаждения помещений.
Теплопотери в таком случае могут достигать 20% от общего объема.
Следует
учесть, что все материалы, применяемые для теплоизоляции полов, подвергаются ...
Типичные
проблемы, которые возникают при укладке таких финишных покрытий, как
керамическая плитка, паркет, линолеум, ковролин и других, – это ровность,
влажность и прочность основания.
Чаще всего гладкость бетонного пола оставляет желать лучшего, перепады
могут достигать 4 и более см. Можно удалить неровности механически,
но практика показывает, что расход алмазных дисков (а другой инструмент
...
